Glavni objektiv z normalno dolžino je zasnovan za brezzrcalne fotoaparate formata APS-C in zagotavlja ekvivalentno goriščno razdaljo 52,5 mm - standardna goriščna razdalja portreta. Zasnova objektiva z ročnim ostrenjem omogoča delo z objekti, ki so oddaljeni le 0,28 m, kar razširi možnosti fotografiranja in naredi sliko privlačno. Objektiv APS-C 35 mm F1,4…
Glavni objektiv z normalno dolžino je zasnovan za brezzrcalne fotoaparate formata APS-C in zagotavlja ekvivalentno goriščno razdaljo 52,5 mm - standardna goriščna razdalja portreta. Zasnova objektiva z ročnim ostrenjem omogoča delo z objekti, ki so oddaljeni le 0,28 m, kar razširi možnosti fotografiranja in naredi sliko privlačno. Objektiv APS-C 35 mm F1,4 ima optično strukturo s 7 elementi v 6 skupinah. Objektiv tehta približno 180 g, kar je primerno za prenašanje, zlasti za dekleta.
ZNAČILNOSTI:
Okvir APS-C
Velika zaslonka F1,4
za polni okvir enakovredno 52 mm
Retro slog
Le okoli 180 g
Obroč za zaslonko s klikom
Celotno kovinsko ohišje
E/X/Z/RF/L/EOS-M/M43-mount
Kompakten za portret
Glavni objektiv običajne dolžine je zasnovan za brezzrcalne fotoaparate formata APS-C in zagotavlja ekvivalentno goriščno razdaljo 52,5 mm - standardna goriščna razdalja za portret.
Najbližja razdalja ostrenja 0,28 m
Zasnova objektiva z ročnim ostrenjem omogoča delo s predmeti, ki so oddaljeni že 0,28 m, kar razširi možnosti fotografiranja predmeta in naredi sliko privlačno.
Lahek in prenosen
Objektiv APS-C 35 mm F1,4 ima optično strukturo s 7 elementi v 6 skupinah. Teža je približno 180 g, kar je primerno za prenašanje, zlasti za dekleta.



Model za uporabo
|
SONY E-mount |
A5000、A5100、A6000、A6100、A6300、A6400、A6500、A6600、NEX-3、NEX-3N、NEX-3R、NEX-5T、NEX-5R、NEX-5、NEX-5N、NEX-7、NEX5C、ZVE-10、FX30 |
|
FUJI X-mount |
X-A1、X-A10、、X-A2、X-A3、X-A5、X-A7、X-M1、X-H1、X-H2、X-H2S、X-T1、X-T10、X-T2、X-T20、X-T30、X-T3、X-T4、X-T5、X-T100、X-T200、X-T30、X-T30 II、X-PR01、X-PR02、X-PR03、X-E1、X-E2、X-E2S、X-E3、X-E4、XS10、XS20 |
|
Nikon Z-mount |
Z50、ZFC、Z30 |
|
Canon RF-mount |
R7、R10、R50、R100 |
|
Canon EOS M-mount |
M1、M2、M3、M5、M6、M6II、M10、M100、M50 |
|
L-mount |
Leica:T、TL、TL2、CL |
|
M43-mount |
Olympus:EPM1、EPM2、EPL1、EPL2、EPL3、EPL5、EPL6、EPL7、EPL8、EPL9、E-P1、E-P2、E-P3、E-P5、E-P6、E-M1、E-M5、E-M10、E-M10II、E-M10II、PEN-F |
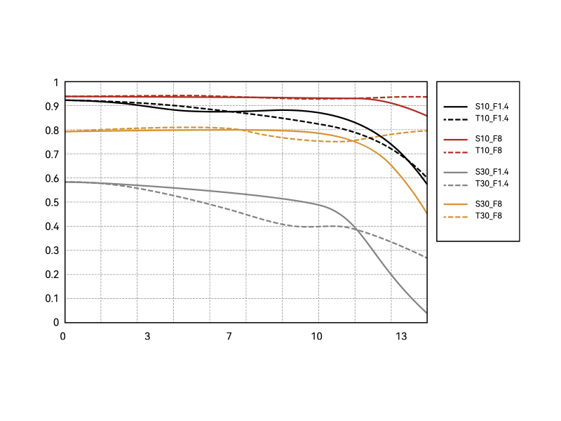
MTF in optična zasnova


Specifikacije
| Goriščna razdalja | 35 mm | Največja zaslonka | F1.4 |
| Najbližja razdalja ostrenja | 0.28m | Najmanjša zaslonka | F16 |
| Kader | APS-C | Rezila zaslonke | 10 kosov |
| Velikost filtra | 39 mm | Optična zasnova | 7 elementov v 6 skupinah |
| Zorni kot | 45° | Metoda ostrenja | Ročno |
| Teža | Približno 180 g | Montaža | E/X/Z/RF/EOS-M/L/MFT |
| Producent: | TTArtisan |
| Kategorija: | Objektivi |
| Bayonet | L-mount |
| Barva objektiva | Srebrna |
| Tip objektiva | Masivno steklo |
| Objektiv primeren za | APS-C |
| Svetlobna moč (f) | 1.4 |
| Goriščna razdalja | 35mm |
| Zoom | Ne |
Na novo na zalogi izdelki TTArtisan - specializirani za kakovostne in cenovno ugodne objektive za brezzrcalne fotoaparate z bajoneti E/X/Z/RF in še…